Упражнение 7.17 ГДЗ Дорофеев Суворова 7 класс (Алгебра)
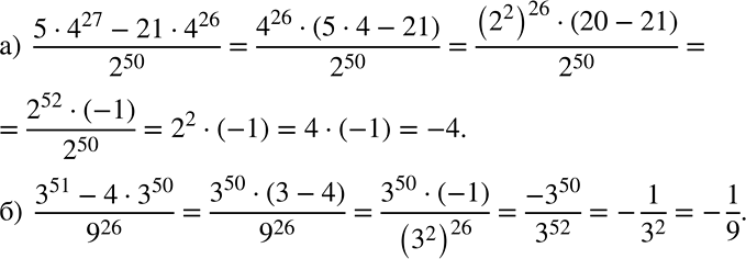
Применяем алгебру (827 — 828) 827 Найдите значение выражения: а) (5 * 4^26 - 21 * 4^26)/2^50; б) (3^51 - 4 * 3^50)/9^26.

Ниже вариант решения задания из учебника Дорофеев, Суворова, Бунимович 7 класс, Просвещение:
Применяем алгебру (827 — 828)
827 Найдите значение выражения:
а) (5 * 4^26 - 21 * 4^26)/2^50;
б) (3^51 - 4 * 3^50)/9^26.
