Упражнение 7.19 ГДЗ Дорофеев Суворова 7 класс (Алгебра)
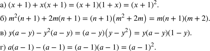
Разложите на множители (829—831). 829 а) (x + 1) + х(х + 1); б) m2(n + 1) + 2m(n + 1);

Ниже вариант решения задания из учебника Дорофеев, Суворова, Бунимович 7 класс, Просвещение:
Разложите на множители (829—831).
829 а) (x + 1) + х(х + 1);
б) m2(n + 1) + 2m(n + 1);
в) у(а - у) - у2(а - у);
г) а(а - 1) - (а - 1).
