Упражнение 7.40 ГДЗ Дорофеев Суворова 7 класс (Алгебра)
a) 0,25а2 - 1; б) 0,16 - 4b2; в) 0,09x2 - у2; г) 100у2 - 0,01x2; д) 1,44а2 - 1,21; е) 1/4*a2 - 1/9*b2.

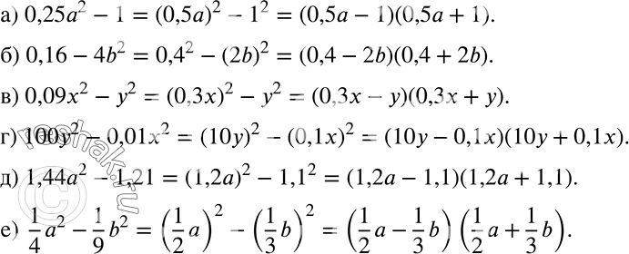
Ниже вариант решения задания из учебника Дорофеев, Суворова, Бунимович 7 класс, Просвещение:
a) 0,25а2 - 1;
б) 0,16 - 4b2;
в) 0,09x2 - у2;
г) 100у2 - 0,01x2;
д) 1,44а2 - 1,21;
е) 1/4*a2 - 1/9*b2.
