Упражнение 7.51 ГДЗ Дорофеев Суворова 7 класс (Алгебра)
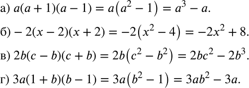
а) а(а + 1)(а - 1); б) -2(х - 2)(х + 2); в) 2b(с - b)(с + b); г) 3а(1 + b)(b - 1).

Ниже вариант решения задания из учебника Дорофеев, Суворова, Бунимович 7 класс, Просвещение:
а) а(а + 1)(а - 1);
б) -2(х - 2)(х + 2);
в) 2b(с - b)(с + b);
г) 3а(1 + b)(b - 1).
