Упражнение 7.49 ГДЗ Дорофеев Суворова 7 класс (Алгебра)
Представьте выражение в виде многочлена (859—861). 859 а) 2у2 + (у - 2)(у + 2); б) 15 - (а + 3)(а - 3);

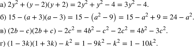
Ниже вариант решения задания из учебника Дорофеев, Суворова, Бунимович 7 класс, Просвещение:
Представьте выражение в виде многочлена (859—861).
859 а) 2у2 + (у - 2)(у + 2);
б) 15 - (а + 3)(а - 3);
в) (2b - с)(2b + с) - 2с2;
г) (1 - 3k)(1 + 3k) - k2.
