Упражнение 7.48 ГДЗ Дорофеев Суворова 7 класс (Алгебра)
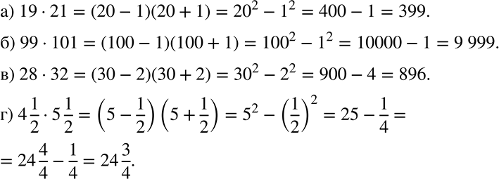
Применяем алгебру Вычислите, используя формулу (а - b)(a + b) = a2 - b2: а) 19 * 21; б) 99 * 101;

Ниже вариант решения задания из учебника Дорофеев, Суворова, Бунимович 7 класс, Просвещение:
Применяем алгебру Вычислите, используя формулу
(а - b)(a + b) = a2 - b2:
а) 19 * 21;
б) 99 * 101;
в) 28 * 32;
г) 4*1/2 * 5*1/2.
Образец.
49 * 51 = (50 - 1)(50 + 1) = 50^2- 1 = 2500 - 1 = 2499.
