Упражнение 7.46 ГДЗ Дорофеев Суворова 7 класс (Алгебра)
а) (1 + 3m)(1 - 3m); б) (2x - 1)(2x + 1); в) (2x - у)(2х + у); г) (а - 3b)(3b + а);

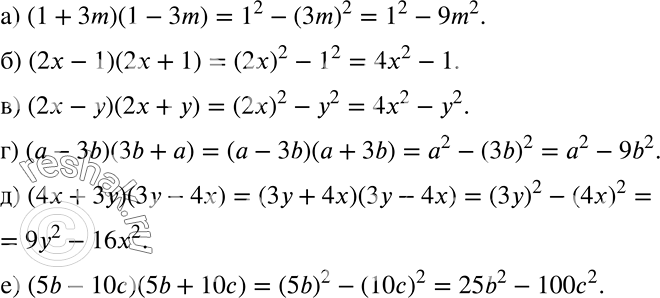
Ниже вариант решения задания из учебника Дорофеев, Суворова, Бунимович 7 класс, Просвещение:
а) (1 + 3m)(1 - 3m);
б) (2x - 1)(2x + 1);
в) (2x - у)(2х + у);
г) (а - 3b)(3b + а);
д) (4x + 3у)(3у - 4х);
е) (5b - 10с)(5b + 10с).
