Упражнение 7.50 ГДЗ Дорофеев Суворова 7 класс (Алгебра)
а) (а - 1)(а + 1) + а(а - 2); б) (2х - у)(у + 2х) + х(4 - 3x); в) 5с(с + 1) - (b - 3с)(b + Зс);

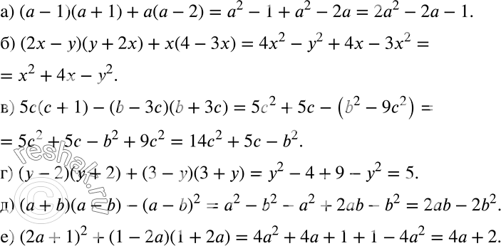
Ниже вариант решения задания из учебника Дорофеев, Суворова, Бунимович 7 класс, Просвещение:
а) (а - 1)(а + 1) + а(а - 2);
б) (2х - у)(у + 2х) + х(4 - 3x);
в) 5с(с + 1) - (b - 3с)(b + Зс);
г) (у - 2)(y + 2) + (3 - у)(3 + у);
д) (а + b)(a - b) - (а - b)2;
е) (2а + 1)2 + (1 - 2а)(1 + 2а).
