Упражнение 174 ГДЗ Колягин Ткачёва 7 класс (Алгебра)
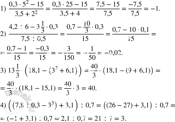
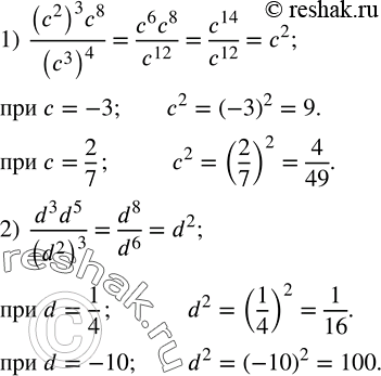
Выполнить действия: 1) (0,3•5^2-15)/(3,5+2^2 ); 2) (4,2:6-3 1/3•0,3)/(7,5:0,5); 3) 13 1/3•(18,1-(3^2+6,1)); 4) ((7,8:0,3-3^3 )+3,1) :0,7. Найти значение выражения: 1) ((c^2 )^3 c^8)/(c^3 )^4 при c=-3;


Ниже вариант решения задания из учебника Колягин, Ткачёва, Фёдорова 7 класс, Просвещение:
Выполнить действия:
1) (0,3•5^2-15)/(3,5+2^2 );
2) (4,2:6-3 1/3•0,3)/(7,5:0,5);
3) 13 1/3•(18,1-(3^2+6,1));
4) ((7,8:0,3-3^3 )+3,1) :0,7.
Найти значение выражения:
1) ((c^2 )^3 c^8)/(c^3 )^4 при c=-3; 2/7;
2) (d^3 d^5)/(d^2 )^3 при d=1/4; -10.
