Упражнение 224 ГДЗ Колягин Ткачёва 7 класс (Алгебра)
Для охлаждения доменной печи через еее стенки ежеминутно пропускается 26 кубометров воды. Сколько кубометров воды проходит через стенки доменной печи за:


Ниже вариант решения задания из учебника Колягин, Ткачёва, Фёдорова 7 класс, Просвещение:
Для охлаждения доменной печи через еее стенки ежеминутно пропускается 26 кубометров воды. Сколько кубометров воды проходит через стенки доменной печи за: 1; 5; m суток?
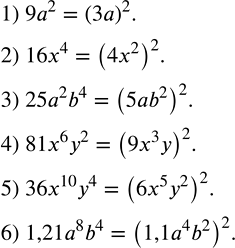
Записать одночлен в виде квадрата другого одночлена:
1) 9a^2;
2) 16x^4;
3) 25a^2 b^4;
4) 81x^6 y^2;
5) 36x^10 y^4;
6) 1,21a^8 b^4.
