Упражнение 221 ГДЗ Колягин Ткачёва 7 класс (Алгебра)
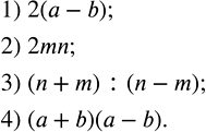
Записать: 1) удвоенную разность чисел a и b; 2) удвоенное произведение чисел m и n; 3) частное от деления суммы чисел n и m на их разность;


Ниже вариант решения задания из учебника Колягин, Ткачёва, Фёдорова 7 класс, Просвещение:
Записать:
1) удвоенную разность чисел a и b;
2) удвоенное произведение чисел m и n;
3) частное от деления суммы чисел n и m на их разность;
4) произведение суммы чисел a и b и их разности.
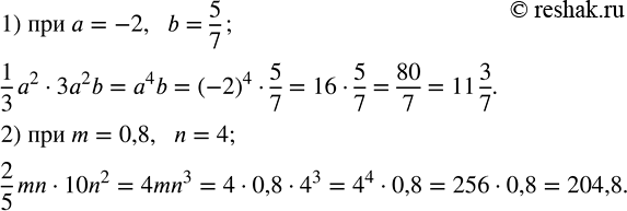
Выполнить умножение одночленов и найти значение полученного выражения:
1) 1/3 a^2•3a^2 b при a=-2, b=5/7;
2) 2/5 mn•10n^2 при m=0,8, n=4.
