Упражнение 219 ГДЗ Колягин Ткачёва 7 класс (Алгебра)
В трехзначном числе a сотен, b десятков, c единиц и a>c. 1) Составим и упростить сумму данного числа и числа, записанного теми же цифрами, но взятыми в обратном порядке.


Ниже вариант решения задания из учебника Колягин, Ткачёва, Фёдорова 7 класс, Просвещение:
В трехзначном числе a сотен, b десятков, c единиц и a>c.
1) Составим и упростить сумму данного числа и числа, записанного теми же цифрами, но взятыми в обратном порядке.
2) Составим разность данного числа и числа, записанного теми же цифрами, но в обратном порядке. Доказать, что полученная разность делится на 9 и на 11.
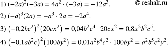
Выполнить действия:
1) (-2a)^2 (-3a);
2) (-a)^3 (2a);
3) (-0,2bc^2 )^2 (20cx^2 );
4) (-0,1ab^2 c)^2 (100by^2 ).
