Упражнение 228 ГДЗ Колягин Ткачёва 7 класс (Алгебра)
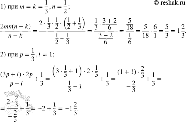
Найти числовое значение алгебраического выражения: 1) 2mn(n+k)/(n-k) при m=k=1/3,n=1/2; 2) ((3p+l)•2p)/(p-l)+1/3 при p=1/3,l=1. Упростить многочлен, записав каждый его член в стандартном виде, и определить степень многочлена:


Ниже вариант решения задания из учебника Колягин, Ткачёва, Фёдорова 7 класс, Просвещение:
Найти числовое значение алгебраического выражения:
1) 2mn(n+k)/(n-k) при m=k=1/3,n=1/2;
2) ((3p+l)•2p)/(p-l)+1/3 при p=1/3,l=1.
Упростить многочлен, записав каждый его член в стандартном виде, и определить степень многочлена:
1) 12a^2 ba-2abab^2+11aba;
2) 2ab^2•4ab-3a^2•8aba-2abab^2;
3) 1,5xy^2 (-4)xyz-4mnkm^2 nk;
4) 4cc^2 c(-1/4)bc+5xy^2 xy^2.
