Упражнение 220 ГДЗ Колягин Ткачёва 7 класс (Алгебра)
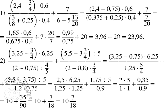
Вычислить значение числового выражения: 1) ((2,4-3/4)•0,6)/((3/8+0,25)•0,4)+7/(6-5 13/20); 2) ((3,25-3/4)•6,25)/((2-0,75) :4/5)+((5,5-3 3/4) :5)/((2-0,8)•3/4). Выполнить действия: 1) (-1 3/5 x^3 y^2 ) (-1/2 c^2 x^2 )^3;


Ниже вариант решения задания из учебника Колягин, Ткачёва, Фёдорова 7 класс, Просвещение:
Вычислить значение числового выражения:
1) ((2,4-3/4)•0,6)/((3/8+0,25)•0,4)+7/(6-5 13/20);
2) ((3,25-3/4)•6,25)/((2-0,75) :4/5)+((5,5-3 3/4) :5)/((2-0,8)•3/4).
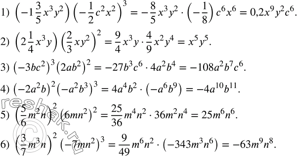
Выполнить действия:
1) (-1 3/5 x^3 y^2 ) (-1/2 c^2 x^2 )^3;
2) (2 1/4 x^3 y) (2/3 xy^2 )^2;
3) (-3bc^2 )^3 (2ab^2 )^2;
4) (-2a^2 b)^2 (-a^2 b^3 )^3;
5) (5/6 m^2 n)^2 (6mn^2 )^2;
6) (3/7 m^3 n)^2 (-7mn^2 )^3.
