Упражнение 230 ГДЗ Колягин Ткачёва 7 класс (Алгебра)
Вклад в банк составил 50 000 р. Через год банк начисляет вкладчику 15 % от суммы вклада. Сколько денег будет на счету через год?Упростить многочлен и найти его значение:


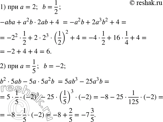
Ниже вариант решения задания из учебника Колягин, Ткачёва, Фёдорова 7 класс, Просвещение:
Вклад в банк составил 50 000 р. Через год банк начисляет вкладчику 15 % от суммы вклада. Сколько денег будет на счету через год?
Упростить многочлен и найти его значение:
1) -aba+a^2 b•2ab+4 при a=2; b=1/2;
2) b^2•5ab-5a•5a^2 b при a=1/5; b=-2.
