Упражнение 231 ГДЗ Колягин Ткачёва 7 класс (Алгебра)
Турист 3 км пути прошел пешком и проехал на автобусе t ч со скоростью 40 км/ч. Написать формулу пути s, проделанного туристом.


Ниже вариант решения задания из учебника Колягин, Ткачёва, Фёдорова 7 класс, Просвещение:
Турист 3 км пути прошел пешком и проехал на автобусе t ч со скоростью 40 км/ч. Написать формулу пути s, проделанного туристом. Из этой формулы выразить t через s.
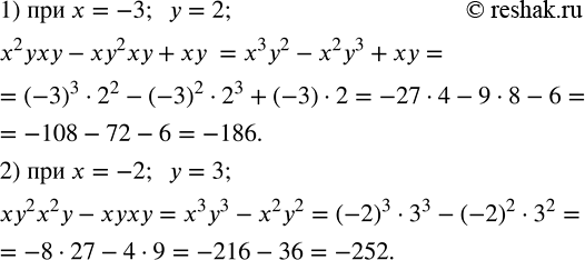
Упростить многочлен и найти его значение:
1) x^2 yxy-xy^2 xy+xy при x=-3; y=2;
2) xy^2 x^2 y-xyxy при x=-2; y=3.
