Упражнение 233 ГДЗ Колягин Ткачёва 7 класс (Алгебра)
Записать в виде алгебраического выражения: 1) сумму двух последовательных натуральных чисел, меньшее из которых равно n; 2) произведение двух последовательных натуральных чисел, большее из которых равно m.


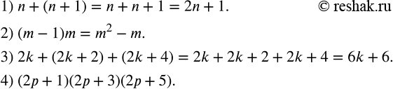
Ниже вариант решения задания из учебника Колягин, Ткачёва, Фёдорова 7 класс, Просвещение:
Записать в виде алгебраического выражения:
1) сумму двух последовательных натуральных чисел, меньшее из которых равно n;
2) произведение двух последовательных натуральных чисел, большее из которых равно m.
3) сумму трех последовательных четных натуральных чисел, меньшее из которых равно 2k;
4) произведение трех последовательных нечетных натуральных чисел, меньшее из которых равно 2p+1.
Может ли при a>0 и b>0 значение многочлена:
1) 2ab+3b^2+1,a^2-b^2 быть числом отрицательным;
2) b^2-4a^2,ab-a^2 b^2 быть числом положительным?
