Упражнение 232 ГДЗ Колягин Ткачёва 7 класс (Алгебра)
При увеличении скорости движения автомобиля вдвое его тормозной путь увеличивается в 4 раза. При скорости 30 км/ч тормозной путь легкового автомобиля равен 7,2 м, а грузового - 9,5 м.


Ниже вариант решения задания из учебника Колягин, Ткачёва, Фёдорова 7 класс, Просвещение:
При увеличении скорости движения автомобиля вдвое его тормозной путь увеличивается в 4 раза. При скорости 30 км/ч тормозной путь легкового автомобиля равен 7,2 м, а грузового - 9,5 м. Найти тормозной путь этих автомобилей при скорости 60 км/ч.
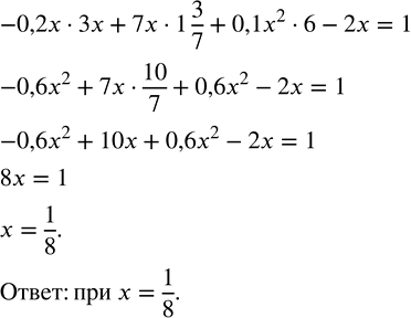
При каком значении x значение многочлена -0,2x•3x+7x•1 3/7+0,1x^2•6-2x равно 1.
