Упражнение 235 ГДЗ Колягин Ткачёва 7 класс (Алгебра)
Верно ли утверждение: 1) если разность двух натуральных чисел - четное натуральное число, то их сумма также число четное; 2) если разности двух натуральных чисел - нечетное натуральное число, то их сумма также число нечетное.Привести подобные члены:


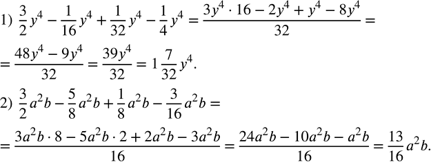
Ниже вариант решения задания из учебника Колягин, Ткачёва, Фёдорова 7 класс, Просвещение:
Верно ли утверждение:
1) если разность двух натуральных чисел - четное натуральное число, то их сумма также число четное;
2) если разности двух натуральных чисел - нечетное натуральное число, то их сумма также число нечетное.
Привести подобные члены:
1) 3/2 y^4-1/16 y^4+1/32 y^4-1/4 y^4;
2) 3/2 a^2 b-5/8 a^2 b+1/8 a^2 b-3/16 a^2 b.
