Упражнение 238 ГДЗ Колягин Ткачёва 7 класс (Алгебра)
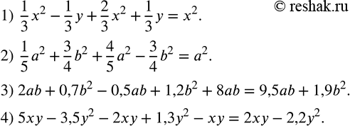
Сколько монет по 2 р. и 5 р. нужно взять, чтобы набрать 23 р.? Привести многочлен к стандартному виду: 1) 1/3 x^2-1/3 y+2/3 x^2+1/3 y;


Ниже вариант решения задания из учебника Колягин, Ткачёва, Фёдорова 7 класс, Просвещение:
Сколько монет по 2 р. и 5 р. нужно взять, чтобы набрать 23 р.?
Привести многочлен к стандартному виду:
1) 1/3 x^2-1/3 y+2/3 x^2+1/3 y;
2) 1/5 a^2+3/4 b^2+4/5 a^2-3/4 b^2;
3) 2ab+0,7b^2-0,5ab+1,2b^2+8ab;
4) 5xy-3,5y^2-2xy+1,3y^2-xy.
