Упражнение 237 ГДЗ Колягин Ткачёва 7 класс (Алгебра)
Велосипедист выехал из города в село, расстояние между которыми s километров, со скоростью v километров в час. Преодолев 3 км пути, он сделал остановку.


Ниже вариант решения задания из учебника Колягин, Ткачёва, Фёдорова 7 класс, Просвещение:
Велосипедист выехал из города в село, расстояние между которыми s километров, со скоростью v километров в час. Преодолев 3 км пути, он сделал остановку. Записать формулу для нахождения времени, необходимого на преодоление оставшейся части пути. Успеет ли велосипедист после остановки доехать до села за 2,5 ч, если s=36, v=12?
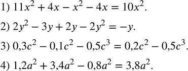
Привести многочлен к стандартному виду:
1) 11x^2+4x-x^2-4x;
2) 2y^2-3y+2y-2y^2;
3) 0,3c^2-0,1c^2-0,5c^3;
4) 1,2a^2+3,4a^2-0,8a^2.
