Упражнение 240 ГДЗ Колягин Ткачёва 7 класс (Алгебра)
Сумма цифр двузначного числа меньше 10. Доказать, что результат умножения такого числа на 11 получится, если между цифрами этого числа вставить их сумму (53·11=583).Привести многочлен к стандартному виду:


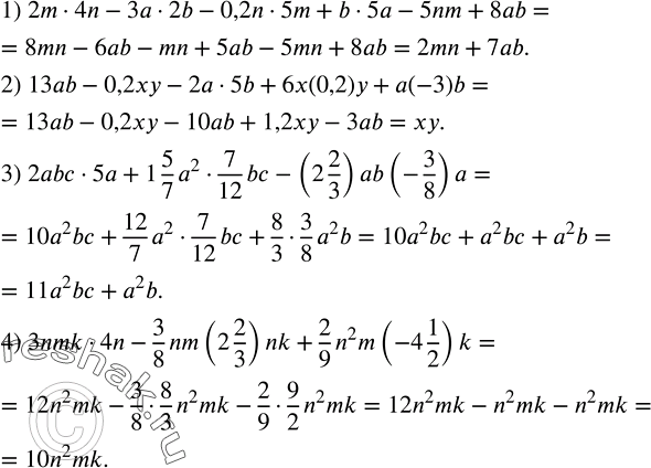
Ниже вариант решения задания из учебника Колягин, Ткачёва, Фёдорова 7 класс, Просвещение:
Сумма цифр двузначного числа меньше 10. Доказать, что результат умножения такого числа на 11 получится, если между цифрами этого числа вставить их сумму (53·11=583).
Привести многочлен к стандартному виду:
1) 2m•4n-3a•2b-0,2n•5m+b•5a-5nm+8ab;
2) 13ab-0,2xy-2a•5b+6x(0,2)y+a(-3)b;
3) 2abc•5a+1 5/7 a^2•7/12 bc-(2 2/3)ab(-3/8)a;
4) 3nmk•4n-3/8 nm(2 2/3)nk+2/9 n^2 m(-4 1/2)k.
