Упражнение 260 ГДЗ Колягин Ткачёва 7 класс (Алгебра)
Решить уравнение: 1) (x-4)/5=9+(2x+4)/9; 2) 2-(3x-7)/4+(x+17)/5=0; 3) (8-y)/5+(5-4y)/3=(y+6)/2; 4) (4x+7)/5+(3x-2)/2-(5x-2)/2=32. Найти значение алгебраического выражения: 1) 7(4a+3b)-6(5a+7b) при a=2; b=-3; 2) a(2b+1)-b(2a-1) при a=10;


Ниже вариант решения задания из учебника Колягин, Ткачёва, Фёдорова 7 класс, Просвещение:
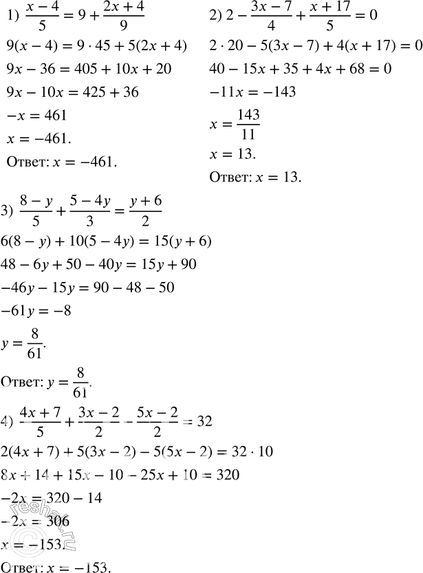
Решить уравнение:
1) (x-4)/5=9+(2x+4)/9;
2) 2-(3x-7)/4+(x+17)/5=0;
3) (8-y)/5+(5-4y)/3=(y+6)/2;
4) (4x+7)/5+(3x-2)/2-(5x-2)/2=32.
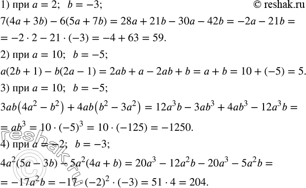
Найти значение алгебраического выражения:
1) 7(4a+3b)-6(5a+7b) при a=2; b=-3;
2) a(2b+1)-b(2a-1) при a=10; b=-5;
3) 3ab(4a^2-b^2 )+4ab(b^2-3a^2 ) при a=10; b=-5;
4) 4a^2 (5a-3b)-5a^2 (4a+b) при a=-2; b=-3.
