Упражнение 259 ГДЗ Колягин Ткачёва 7 класс (Алгебра)
Решить уравнение: 1) 0,71x+1,98=0,37x-1,76; 2) 0,18y-7,4=0,05y-5,71; 3) 5(5x-1)-2,7x+0,2x=6,5-0,5x; 4) 0,36x-0,6=0,3(0,4x-1,2). Упростить выражение: 1) (x^2-1)•3x-(x^2-2)•2x; 2) (4a^2-3b)•2b-(3a^2-4b)•3b; 3) 2/3 x(3-6x)+4x(x-1); 4) (a-15b)•4/5 a-3(1/5 a^2+2ab).


Ниже вариант решения задания из учебника Колягин, Ткачёва, Фёдорова 7 класс, Просвещение:
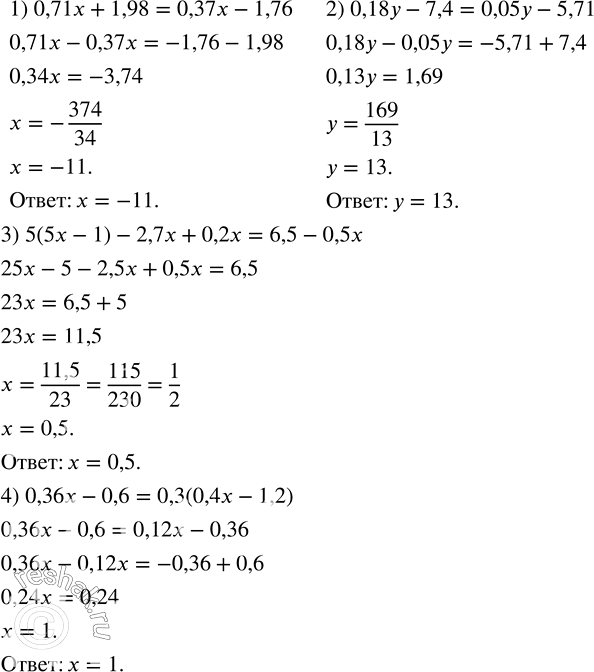
Решить уравнение:
1) 0,71x+1,98=0,37x-1,76;
2) 0,18y-7,4=0,05y-5,71;
3) 5(5x-1)-2,7x+0,2x=6,5-0,5x;
4) 0,36x-0,6=0,3(0,4x-1,2).
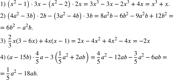
Упростить выражение:
1) (x^2-1)•3x-(x^2-2)•2x;
2) (4a^2-3b)•2b-(3a^2-4b)•3b;
3) 2/3 x(3-6x)+4x(x-1);
4) (a-15b)•4/5 a-3(1/5 a^2+2ab).
