Упражнение 296 ГДЗ Колягин Ткачёва 7 класс (Алгебра)
Кофе при обработке теряет 12 % массы. Сколько килограммов кофе надо взять, чтобы получить 4,4 кг сухого кофе?Вычислить: 1) (3/5)^4•5^3/3^2 ;


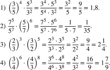
Ниже вариант решения задания из учебника Колягин, Ткачёва, Фёдорова 7 класс, Просвещение:
Кофе при обработке теряет 12 % массы. Сколько килограммов кофе надо взять, чтобы получить 4,4 кг сухого кофе?
Вычислить:
1) (3/5)^4•5^3/3^2 ;
2) 7^5/5^7 •(5/7)^6;
3) (2/3)^3•(3/2)^5;
4) (3/4)^6•(4/3)^8.
