Упражнение 293 ГДЗ Колягин Ткачёва 7 класс (Алгебра)
Первый час туристы шли на станцию со скоростью 3,5 км/ч. Если они и дальше будут идти с той же скоростью, то придут на час позже намеченного срока.


Ниже вариант решения задания из учебника Колягин, Ткачёва, Фёдорова 7 класс, Просвещение:
Первый час туристы шли на станцию со скоростью 3,5 км/ч. Если они и дальше будут идти с той же скоростью, то придут на час позже намеченного срока. Увеличив скорость на 1,5 км/ч, туристы прибыли на станцию на 30 мин раньше намеченного срока. Какой путь прошли туристы?
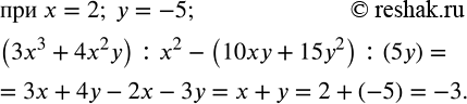
Найти значение алгебраического выражения:
(3x^3+4x^2 y) :x^2-(10xy+15y^2 ) :(5y) при x=2;y=-5.
