Упражнение 294 ГДЗ Колягин Ткачёва 7 класс (Алгебра)
Расстояние между двумя поселками равно 9 км. Дорога имеет подъем, равнинный участок и спуск. Скорость пешехода на подъеме равна 4 км/ч, на равнинном участке 5 км/ч,а на спуске 6 км/ч.


Ниже вариант решения задания из учебника Колягин, Ткачёва, Фёдорова 7 класс, Просвещение:
Расстояние между двумя поселками равно 9 км. Дорога имеет подъем, равнинный участок и спуск. Скорость пешехода на подъеме равна 4 км/ч, на равнинном участке 5 км/ч,а на спуске 6 км/ч. Сколько километров составляет равнинный участок, если пешеход проходит расстояние от одного поселка до другого и обратно за 3 ч 41 мин?
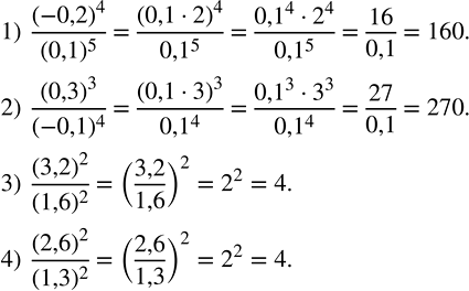
Вычислить:
1) (-0,2)^4/(0,1)^5 ;
2) (0,3)^3/(-0,1)^4 ;
3) (3,2)^2/(1,6)^2 ;
4) (2,6)^2/(1,3)^2 .
