Упражнение 291 ГДЗ Колягин Ткачёва 7 класс (Алгебра)
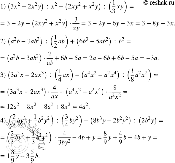
При каких значениях a уравнение |x|=a: 1) не имеет корней; 2) имеет только один корень?Упростить выражение: 1) (3x^2-2x^2 y) :x^2-(2xy^2+x^2 y) :(1/3 xy);


Ниже вариант решения задания из учебника Колягин, Ткачёва, Фёдорова 7 класс, Просвещение:
При каких значениях a уравнение |x|=a:
1) не имеет корней; 2) имеет только один корень?
Упростить выражение:
1) (3x^2-2x^2 y) :x^2-(2xy^2+x^2 y) :(1/3 xy);
2) (a^2 b-3ab^2 ) :(1/2 ab)+(6b^3-5ab^2 ) :b^2;
3) (3a^3 x-2ax^3 ) :(1/4 ax)-(a^4 x^2-a^2 x^4 ) :(1/8 a^2 x^2 );
4) (2/3 by^3+1/3 b^2 y^2 ) :(3/4 by^2 )-(8b^3 y-2b^2 y^2 ) :(2b^2 y).
