Упражнение 299 ГДЗ Колягин Ткачёва 7 класс (Алгебра)
Поезд идет со скоростью 40 км/ч. По наблюдению машиниста, встречный поезд, длина которого 75 м, проходит мимо него за 3 с.


Ниже вариант решения задания из учебника Колягин, Ткачёва, Фёдорова 7 класс, Просвещение:
Поезд идет со скоростью 40 км/ч. По наблюдению машиниста, встречный поезд, длина которого 75 м, проходит мимо него за 3 с. Какова скорость движения встречного поезда?
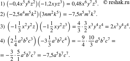
Выполнить умножение одночленов:
1) (-0,4x^5 y^6 z^2 )(-1,2xyz^3 );
2) (-2,5n^4 m^5 k^2 )(3nm^2 k^5 );
3) (-1 1/3 x^2 y^2 z)(-1 1/2 xy^2 z^3 );
4) (2 1/4 a^2 b^5 c^3 )(-3 1/3 a^3 b^2 c^4 ).
