Упражнение 298 ГДЗ Колягин Ткачёва 7 класс (Алгебра)
Решить уравнение: 1) |2x-1|=3; 2) |1-5x|=2. Записать в виде степени с показателем 3: 1) a^6 b^3; 2)-1000b^6; 3) x^12 y^9 z^6;


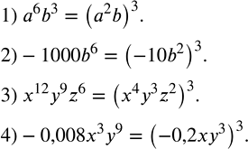
Ниже вариант решения задания из учебника Колягин, Ткачёва, Фёдорова 7 класс, Просвещение:
Решить уравнение:
1) |2x-1|=3;
2) |1-5x|=2.
Записать в виде степени с показателем 3:
1) a^6 b^3;
2)-1000b^6;
3) x^12 y^9 z^6;
4)-0,008x^3 y^9.
