Упражнение 306 ГДЗ Колягин Ткачёва 7 класс (Алгебра)
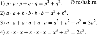
Упростить выражение: 1) p•p•p+q•q; 2) a•a+b•b•b•b; 3) a•a+a•a+a•a; 4) x•x•x+x•x•x. Сколько процентов от числа 500 составляет четвертая степень числа 5? *Цитирирование задания со ссылкой на учебник производится исключительно в учебных целях для лучшего понимания разбора решения задания.


Ниже вариант решения задания из учебника Колягин, Ткачёва, Фёдорова 7 класс, Просвещение:
Упростить выражение:
1) p•p•p+q•q;
2) a•a+b•b•b•b;
3) a•a+a•a+a•a;
4) x•x•x+x•x•x.
Сколько процентов от числа 500 составляет четвертая степень числа 5?
