Упражнение 325 ГДЗ Колягин Ткачёва 7 класс (Алгебра)
Не производя вычислений, расположить числа: 1) (-1 1/3)^3; (-1,8)^2; (3/7)^3 в порядке убывания; 2) (-0,4)^3; (-1,5)^2; (1/7)^3; (-7)^3 в порядке возрастания.


Ниже вариант решения задания из учебника Колягин, Ткачёва, Фёдорова 7 класс, Просвещение:
Не производя вычислений, расположить числа:
1) (-1 1/3)^3; (-1,8)^2; (3/7)^3 в порядке убывания;
2) (-0,4)^3; (-1,5)^2; (1/7)^3; (-7)^3 в порядке возрастания.
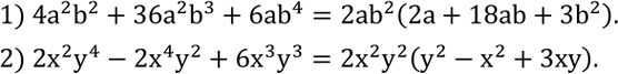
Вынести за скобки общий множитель:
1) 4a^2 b^2+36a^2 b^3+6ab^4;
2) 2x^2 y^4-2x^4 y^2+6x^3 y^3.
