Упражнение 326 ГДЗ Колягин Ткачёва 7 класс (Алгебра)
Какой цифрой оканчивается значение выражения: 1) 3^3+4^3+5^3; 2) 3^3+?10?^3+?18?^3; 3) ?21?^4+?34?^4+?46?^4; 4) ?15?^5+?26?^5+?39?^5? Вынести за скобки общий множитель: 1) ab-ac+a^2; 2) xy-x^2+xz;


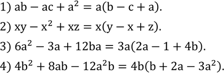
Ниже вариант решения задания из учебника Колягин, Ткачёва, Фёдорова 7 класс, Просвещение:
Какой цифрой оканчивается значение выражения:
1) 3^3+4^3+5^3;
2) 3^3+?10?^3+?18?^3;
3) ?21?^4+?34?^4+?46?^4;
4) ?15?^5+?26?^5+?39?^5?
Вынести за скобки общий множитель:
1) ab-ac+a^2;
2) xy-x^2+xz;
3) 6a^2-3a+12ba;
4) 4b^2+8ab-12a^2 b.
