Упражнение 327 ГДЗ Колягин Ткачёва 7 класс (Алгебра)
Записать произведение в виде степени: 1) c^3 c^2; 2) a^3 a^4; 3) (1/2 a)^7 (1/2 a); 4) (3b) (3b)^6. Вычислить: 1) ?187?^2-187•87;


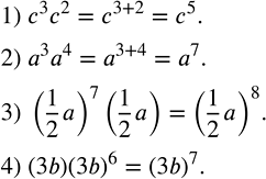
Ниже вариант решения задания из учебника Колягин, Ткачёва, Фёдорова 7 класс, Просвещение:
Записать произведение в виде степени:
1) c^3 c^2;
2) a^3 a^4;
3) (1/2 a)^7 (1/2 a);
4) (3b) (3b)^6.
Вычислить:
1) ?187?^2-187•87;
2) ?0,7?^3+0,7•9,51;
3) ?0,9?^3-0,81•2,9.
