Упражнение 328 ГДЗ Колягин Ткачёва 7 класс (Алгебра)
Записать произведение в виде степени: 1) 2^3 2^2 2^4; 2) 3^2 3^5 3^3; 3) (-5)^6 (-5)^3 (-5)^4; 4) (-6)^3 (-6)^2 (-6)^7.


Ниже вариант решения задания из учебника Колягин, Ткачёва, Фёдорова 7 класс, Просвещение:
Записать произведение в виде степени:
1) 2^3 2^2 2^4;
2) 3^2 3^5 3^3;
3) (-5)^6 (-5)^3 (-5)^4;
4) (-6)^3 (-6)^2 (-6)^7.
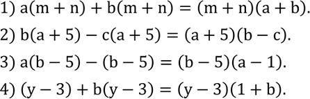
Разложить на множители:
1) a(m+n)+b(m+n);
2) b(a+5)-c(a+5);
3) a(b-5)-(b-5);
4) (y-3)+b(y-3).
