Упражнение 377 ГДЗ Колягин Ткачёва 7 класс (Алгебра)
Записать одночлен в стандартном виде и определить его степень: 1) 3m^4 m; 2) z^5 z^5 z; 3) -ab•5; 4) (-m)(-m^3 );


Ниже вариант решения задания из учебника Колягин, Ткачёва, Фёдорова 7 класс, Просвещение:
Записать одночлен в стандартном виде и определить его степень:
1) 3m^4 m;
2) z^5 z^5 z;
3) -ab•5;
4) (-m)(-m^3 );
5) 5^2 pq^2 (-4)^2 qp;
6) 2^3 qp^2 (-3)^2 pq.
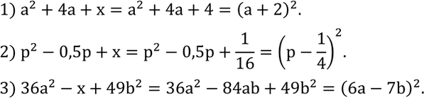
Заменить x одночленом так, чтобы получился квадрат двучлена:
1) a^2+4a+x;
2) p^2-0,5p+x;
3) 36a^2-x+49b^2.
