Упражнение 379 ГДЗ Колягин Ткачёва 7 класс (Алгебра)
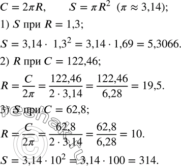
Длина окружности радиуса R выражается формулой C=2?R; площадь круга радиуса R выражается формулой S=?R^2 (??3,14). С помощью микрокалькулятора вычислить: 1) S при R=1,3;


Ниже вариант решения задания из учебника Колягин, Ткачёва, Фёдорова 7 класс, Просвещение:
Длина окружности радиуса R выражается формулой C=2?R; площадь круга радиуса R выражается формулой S=?R^2 (??3,14). С помощью микрокалькулятора вычислить:
1) S при R=1,3; 2) R при C=122,46; 3) S при C=62,8.
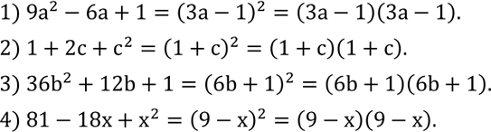
Разложить на множители многочлен:
1) 9a^2-6a+1;
2) 1+2c+c^2;
3) 36b^2+12b+1;
4) 81-18x+x^2.
