Упражнение 380 ГДЗ Колягин Ткачёва 7 класс (Алгебра)
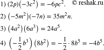
Выполните умножение одночленов: 1) (2p)(-3c^2 ); 2) (-5m^2 )(-7n); 3) (4a^2 )(6a^3 ); 4) (-1/2 b^3 )(8b^2 ). Разложить на множители многочлен:


Ниже вариант решения задания из учебника Колягин, Ткачёва, Фёдорова 7 класс, Просвещение:
Выполните умножение одночленов:
1) (2p)(-3c^2 );
2) (-5m^2 )(-7n);
3) (4a^2 )(6a^3 );
4) (-1/2 b^3 )(8b^2 ).
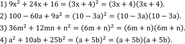
Разложить на множители многочлен:
1) 9x^2+24x+16;
2) 100-60a+9a^2;
3) 36m^2+12mn+n^2;
4) a^2+10ab+25b^2.
