Упражнение 378 ГДЗ Колягин Ткачёва 7 класс (Алгебра)
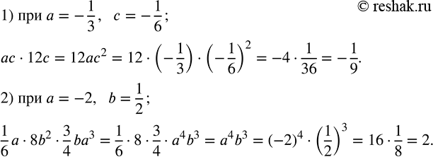
Записать одночлен в стандартном виде и найти его числовое значение: 1) ac•12c при a=-1/3, c=-1/6; 2) 1/6 a•8b^2•3/4 ba^3 при a=-2, b=1/2.


Ниже вариант решения задания из учебника Колягин, Ткачёва, Фёдорова 7 класс, Просвещение:
Записать одночлен в стандартном виде и найти его числовое значение:
1) ac•12c при a=-1/3, c=-1/6;
2) 1/6 a•8b^2•3/4 ba^3 при a=-2, b=1/2.
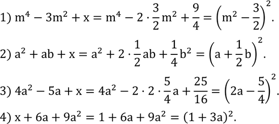
Заменить x одночленом так, чтобы получился квадрат двучлена:
1) m^4-3m^2+x;
2) a^2+ab+x;
3) 4a^2-5a+x;
4) x+6a+9a^2.
