Вводные упражнения 19 ГДЗ Колягин Ткачёва 7 класс (Алгебра)
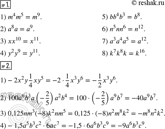
Записать в виде степени: 1) m^4 m^5; 2) a^8 a; 3) xx^10; 4) y^2 y^9; 5) bb^4 b^3; 6) n^5 nn^6;

Ниже вариант решения задания из учебника Колягин, Ткачёва, Фёдорова 7 класс, Просвещение:
Записать в виде степени:
1) m^4 m^5; 2) a^8 a; 3) xx^10; 4) y^2 y^9;
5) bb^4 b^3; 6) n^5 nn^6; 7) a^3 a^4 a^5; 8) k^7 k^8 k.
2. Записать в стандартном виде одночлен:
1) -2x^2 y 1/4 xy^5;
2) 100a^6 b^3 a(-2/5) a^2 b^4;
3) 0,125nm^3 (-8) k^2 nm^5;
4) -1,5a^5 b^3 c^2•6ac^7.
