Вводные упражнения 20 ГДЗ Колягин Ткачёва 7 класс (Алгебра)
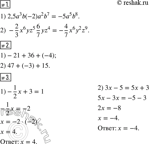
Записать в стандартном виде одночлен: 1) 2,5a^3 b(-2) a^2 b^7; 2) -2/3 x^6 yz^5 6/7 yz^4. 2. Записать алгебраическую сумму чисел:

Ниже вариант решения задания из учебника Колягин, Ткачёва, Фёдорова 7 класс, Просвещение:
Записать в стандартном виде одночлен:
1) 2,5a^3 b(-2) a^2 b^7; 2) -2/3 x^6 yz^5 6/7 yz^4.
2. Записать алгебраическую сумму чисел:
1) -21, 36 и -4; 2) 47, -3 и 15.
3. Решить уравнение: 1) 2,5a^3 b(-2) a^2 b^7; 2) -2/3 x^6 yz^5 6/7 yz^4.
