Упражнение 409 ГДЗ Колягин Ткачёва 7 класс (Алгебра)
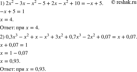
Привести многочлен к стандартному виду и выяснить, при каких значениях x его значение равно 1: 1) 2x^2-3x-x^2-5+2x-x^2+10; 2) 0,3x^3-x^2+x-x^3+3x^2+0,7x^3-2x^2+0,07. Разложить на множители:


Ниже вариант решения задания из учебника Колягин, Ткачёва, Фёдорова 7 класс, Просвещение:
Привести многочлен к стандартному виду и выяснить, при каких значениях x его значение равно 1:
1) 2x^2-3x-x^2-5+2x-x^2+10;
2) 0,3x^3-x^2+x-x^3+3x^2+0,7x^3-2x^2+0,07.
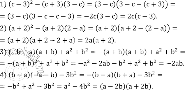
Разложить на множители:
1) (c-3)^2-(c+3)(3-c);
2) (a+2)^2-(a+2)(2-a);
3) (-b-a)(a+b)+a^2+b^2;
4) (b-a)(-a-b)-3b^2.
