Упражнение 423 ГДЗ Колягин Ткачёва 7 класс (Алгебра)
Найти произведение многочлена и одночлена: 1) 7ab(2a+3b); 2) 5a^2 b(15b+3); 3) 3xy^2 (xy-2x^3 ). Вычислить: 1) (2x-1)(4x^2+2x+1)-4x(2x^2-3) при x=0,5; 2) x(x+2)(x-2)-(x-3)(x^2+3x+9) при x=0,25.


Ниже вариант решения задания из учебника Колягин, Ткачёва, Фёдорова 7 класс, Просвещение:
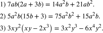
Найти произведение многочлена и одночлена:
1) 7ab(2a+3b);
2) 5a^2 b(15b+3);
3) 3xy^2 (xy-2x^3 ).
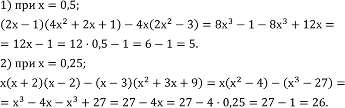
Вычислить:
1) (2x-1)(4x^2+2x+1)-4x(2x^2-3) при x=0,5;
2) x(x+2)(x-2)-(x-3)(x^2+3x+9) при x=0,25.
