Упражнение 424 ГДЗ Колягин Ткачёва 7 класс (Алгебра)
Найти произведение многочлена и одночлена: 1) 17a(5a+6b-3ab); 2) 8ab(2b-3ac+c^2 ); 3) 3x^2 y(5x+6y+7z); 4) xyz(x^2+2y^2+3z^2 ). Решить уравнение: 1) (x+2)(x^2-2x+4)-x(x-3)(x+3)=26; 2) (x-3)(x^2+3x+9)-x(x+4)(x-4)=21;


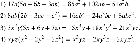
Ниже вариант решения задания из учебника Колягин, Ткачёва, Фёдорова 7 класс, Просвещение:
Найти произведение многочлена и одночлена:
1) 17a(5a+6b-3ab);
2) 8ab(2b-3ac+c^2 );
3) 3x^2 y(5x+6y+7z);
4) xyz(x^2+2y^2+3z^2 ).
Решить уравнение:
1) (x+2)(x^2-2x+4)-x(x-3)(x+3)=26;
2) (x-3)(x^2+3x+9)-x(x+4)(x-4)=21;
3) (2x-1)(4x^2+2x+1)-4x(2x^2-3)=23;
4) (4x+1)(16x^2-4x+1)-16x(4x^2-5)=17.
