Упражнение 426 ГДЗ Колягин Ткачёва 7 класс (Алгебра)
Упростить выражение: 1) (x^2-1)•3x-(x^2-2)•2x; 2) (4a^2-3b)•2b-(3a^2-4b)•3b; 3) 2/3 x(3-6x)+4x(x-1); 4) (a-15b)•4/5 a-3(1/5 a^2+2ab). Верно ли равенство 2b^5+(a^4+a^3 b+a^2 b^2+ab^3+b^4 )(a-b)=(a^4-a^3 b+a^2 b^2-ab^3+b^4 )(a+b).


Ниже вариант решения задания из учебника Колягин, Ткачёва, Фёдорова 7 класс, Просвещение:
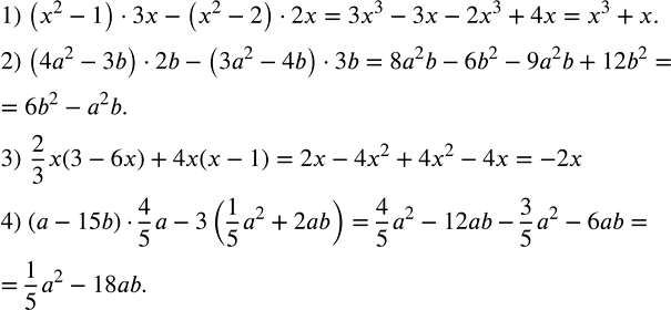
Упростить выражение:
1) (x^2-1)•3x-(x^2-2)•2x;
2) (4a^2-3b)•2b-(3a^2-4b)•3b;
3) 2/3 x(3-6x)+4x(x-1);
4) (a-15b)•4/5 a-3(1/5 a^2+2ab).
Верно ли равенство 2b^5+(a^4+a^3 b+a^2 b^2+ab^3+b^4 )(a-b)=(a^4-a^3 b+a^2 b^2-ab^3+b^4 )(a+b).
