Упражнение 425 ГДЗ Колягин Ткачёва 7 класс (Алгебра)
Упростить выражение: 1) 6(2t-3n)-3(3t-2n); 2) 5(a-b)-4(2a-3b); 3) -2(3x-2y)-5(2y-3x); 4) 7(4p+3)-6(5+7p). 1) Доказать, что если сумма трех последовательных натуральных чисел есть число нечетное, то их произведение делится на 24.


Ниже вариант решения задания из учебника Колягин, Ткачёва, Фёдорова 7 класс, Просвещение:
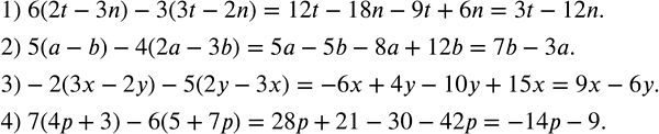
Упростить выражение:
1) 6(2t-3n)-3(3t-2n);
2) 5(a-b)-4(2a-3b);
3) -2(3x-2y)-5(2y-3x);
4) 7(4p+3)-6(5+7p).
1) Доказать, что если сумма трех последовательных натуральных чисел есть число нечетное, то их произведение делится на 24.
2) Доказать, что если сумма четырех натуральных чисел есть число нечетное, то их произведение - число четное.
