Упражнение 422 ГДЗ Колягин Ткачёва 7 класс (Алгебра)
Найти произведение многочлена и одночлена: 1) 2(3a^2-4a+8); 2) (-1/3)(m-n+p); 3) (3a-5b+bc)(-3); 4) (-5)(3x^3+7x^2-x). Записать выражение в виде многочлена: 1) (a+(b+c))(a-(b+c)); 2) (a^2-(b-c))(a^2+(b-c)).


Ниже вариант решения задания из учебника Колягин, Ткачёва, Фёдорова 7 класс, Просвещение:
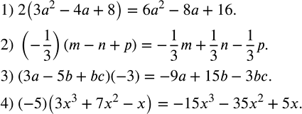
Найти произведение многочлена и одночлена:
1) 2(3a^2-4a+8);
2) (-1/3)(m-n+p);
3) (3a-5b+bc)(-3);
4) (-5)(3x^3+7x^2-x).
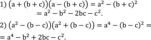
Записать выражение в виде многочлена:
1) (a+(b+c))(a-(b+c));
2) (a^2-(b-c))(a^2+(b-c)).
