Упражнение 427 ГДЗ Колягин Ткачёва 7 класс (Алгебра)
Найти значение алгебраического выражения: 1) 7(4a+3b)-6(5a+7b) при a=2; b=-3; 2) a(2b+1)-b(2a-1) при a=10; b=-5; 3) 3ab(4a^2-b^2 )+4ab(b^2-3a^2 ) при a=10; b=-5;


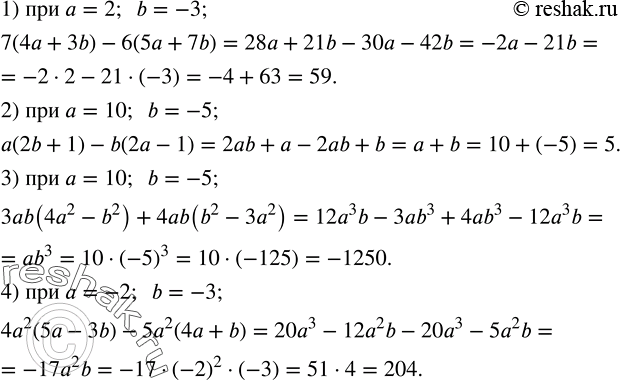
Ниже вариант решения задания из учебника Колягин, Ткачёва, Фёдорова 7 класс, Просвещение:
Найти значение алгебраического выражения:
1) 7(4a+3b)-6(5a+7b) при a=2; b=-3;
2) a(2b+1)-b(2a-1) при a=10; b=-5;
3) 3ab(4a^2-b^2 )+4ab(b^2-3a^2 ) при a=10; b=-5;
4) 4a^2 (5a-3b)-5a^2 (4a+b) при a=-2; b=-3.
Записать алгебраическую дробь, числитель которой равен разности квадратов чисел a и b, а знаменатель - квадрату разности этих чисел.
