Упражнение 469 ГДЗ Колягин Ткачёва 7 класс (Алгебра)
Выполнить умножение многочленов: 1) (1/2 a+3b)(1/2 a-3b); 2) (0,3-m)(m+0,3); 3) (1/3 a-2b)(1/3 a+2b); 4) (0,2a+0,5x)(0,2a-0,5x). Выполнить действия: 1) y/(n-2)+z/(2-n); 2) 2m/(3-5n)-1+(7n-4)/(5n-3);


Ниже вариант решения задания из учебника Колягин, Ткачёва, Фёдорова 7 класс, Просвещение:
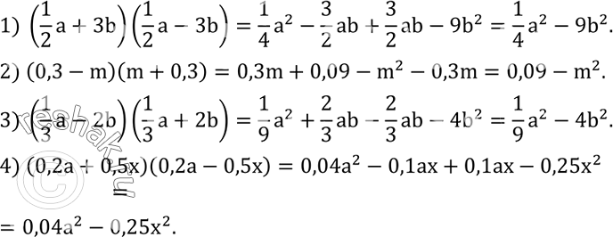
Выполнить умножение многочленов:
1) (1/2 a+3b)(1/2 a-3b);
2) (0,3-m)(m+0,3);
3) (1/3 a-2b)(1/3 a+2b);
4) (0,2a+0,5x)(0,2a-0,5x).
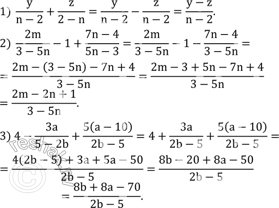
Выполнить действия:
1) y/(n-2)+z/(2-n);
2) 2m/(3-5n)-1+(7n-4)/(5n-3);
3) 4-3a/(5-2b)+5(a-10)/(2b-5).
