Упражнение 465 ГДЗ Колягин Ткачёва 7 класс (Алгебра)
Записать в виде степени с показателем 3: 1) a^6 b^3; 2)-1000b^6; 3) x^12 y^9 z^6; 4)-0,008x^3 y^9. Выполнить действия: 1) 3c/(4a^3 b)+5d/(6ab^3 );


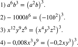
Ниже вариант решения задания из учебника Колягин, Ткачёва, Фёдорова 7 класс, Просвещение:
Записать в виде степени с показателем 3:
1) a^6 b^3;
2)-1000b^6;
3) x^12 y^9 z^6;
4)-0,008x^3 y^9.
Выполнить действия:
1) 3c/(4a^3 b)+5d/(6ab^3 );
2) 2/(3y^3 )-1/(6x^2 y)+5/(12xy^2 );
3) b/c+b/(c^2 d)+b/(cd^2 ).
